击核心痛点,探索高质量发展新路径!这场装修行业盛会在厦
2025-11-031 引言
科里奥利质量流量计(以下简称科氏流量计)可以直接测量质量流量,是当前发展最为迅速的流量计之一。但是,目前此类流量计还存在以下局限性:(1)传统的模拟电路计数式信号处理方法测量的是一个合成波的相位差,频率成分复杂,而真正与质量流量有关的只是基波的相位差;(2)由于模拟驱动电路提供的增益有限,当振动管(流量管)的振幅和固有频率变化时,无法及时控制振动管达到稳定的振动。
为此,人们研究数字式科氏流量计[1,2],即用数字信号处理方法测量传感器输出信号的频率和相位差,用数字方法为振动管提供驱动信号。其中,牛津大学的专家提到了一种基于同步调制的数字处理方法,并申报了美国专利[3]。本文指出其相位差计算方法的不合理性,给出了正确的公式推导,并进行仿真和性能分析。同时,对科氏流量计的驱动方法进行研究和仿真,提出了较为完整的数字驱动方案。
2 基于同步调制的信号处理方法
2.1 方法分析与改进
这种方法的主要思想是通过对信号的调制,滤波后构造出反映信号频率和幅度信息的函数。
设科氏流量传感器的输出信号为
x[k]= Asin[(ω0 + △ω)kh + Φ] + ε(k) (1)
式中:A为信号中正弦波的幅度,ω0是额定频率,△ω是对ω0的偏移,h是采样间隔,Φ是相移,ε(k)是谐波和噪声。处理器先产生两个在额定频率下振动的正弦波和余弦波信号,然后用原始信号分别乘以这两个信号来产生y1和y2:
y1[k]= x[k]cos(ω0kh)=sin[(2ω0 + △ω)kh + Φ] + sin(△ωkh + Φ) (2)
y2[k]= x[k]sin(ω0kh)= -cos[(2ω0 + △ω)kh + Φ] + cos(△ωkh + Φ) (3)
其中:y1和y2的第一项都是高频(约两倍的ω0)分量,第二项是低频分量。用一个低通滤波器来消除高频分量,得到y'1和y'2:
    y'1[k]=  sin(△ωkh + Φ')+ε1[k]          (4)
    y'2[k]=  cos(△ωkh + Φ')+ε2[k]          (5)
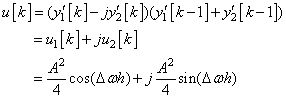
其中,ε1[k]和ε2[k]代表来自原始信号、经过滤波的噪声。用这两个信号构造u[k]
    (6)
得到包含频率偏移和幅值基本信息的表达式,其中,u1[k]是u[k]的实部,u2[k]是虚部。根据它们计算频率偏移
(7)
把频率偏移加到额定频率上就得到被测信号的实际频率;同时,更新调制频率使其等于这个实际频率,达到跟踪的目的。
f= △f + f0 (8)
在频率测量的同时,还利用u[k]的实部和虚部来确定原始信号的幅度
(9)
文献[3]中提出了相位差的计算方法:
y1*[k]= sin(△ωkh + Φ')+ε1[k] (10)
y2*[k]= cos(△ωkh + Φ')+ε2[k] (11)
在忽略ε1[k]和ε2[k]的基础上,将上面两式相乘得到一个高频和直流分量,这个直流分量就含有相位信息:
              (12)
滤波后得到:
(13)
但是,我们对y2*[k]的由来表示质疑。从文献[3]中看,y1*[k]和y2*[k]是指之前的y'1[k]和y'2[k],而这个y'2[k]和y2*[k]的表达式却又是不同的,如果将y'1[k]和y'2[k]相乘是无法得到这个相位信息的。
为了能实现相位差的测量,我们重新推导有关公式。
由于调制频率是不断跟踪信号频率的,当调制频率跟踪上后,△ω≈0。于是,可以根据式(4),在忽略滤波噪声的情况下就能得到
(14)
这里的Φ'是指滤波后的相位。滤波会使信号相位发生变化,但是,当两路信号的频率一样时,它们通过同一个滤波器时的相位变化量是一样的,所以,就可以直接用两路信号滤波后的相位来计算相位差。
2.2 仿真结果
(1)调制频率初始化
此方法测量的是相对于调制频率的偏差频率,因此,程序开始时必须要有一个预先估计的频率(调制频率)。同时,根据偏差频率设定一个很窄的低通滤波器,对调制后的信号(式(4)和(5))进行滤波。由于U形管的信号频率大概在80Hz~150Hz,测量初始化时,就将调制频率设定为这个范围的中间值115Hz。然后运用同步调制法就可以得到一个初始偏差频率,初始时滤波器的带宽比较宽,频偏的误差也会较大,然后根据它对调制频率进行修正,减小调制频率对于实际频率的偏差。同时也对滤波器进行更新,接着就可以进行频率偏移和幅度的计算。
设两路信号分别为Asin(2πft + θ1)和Asin(2πft + θ2)。由于计算频率和幅度时两路信号的处理过程是一样的,所以只对一路信号进行仿真。
这个初始估计仅仅是为了减小调制频率和信号频率的差距,并不产生测量数据,所以这样的精度完全能满足要求。
表1 以115Hz为调制频率时的初始偏差频率估计误差
| 
             信号频率/Hz  | 
            
             150  | 
            
             135  | 
            
             125  | 
            
             115  | 
            
             95  | 
            
             80  | 
        
| 
             频偏最大估计误差  | 
            
             0.0005  | 
            
             0.0006  | 
            
             0.0008  | 
            
             0.001  | 
            
             0.0015  | 
            
             0.0022  | 
        
注:这里的误差是指相对误差,即:|计算值-实际值|/实际值
(2)频率和幅度的测量
假设信号频率相对调制频率(设为100Hz)发生偏移绝对值小于8Hz时,对一段时间里的偏移值求平均,并根据这个平均值不断地调整调制频率使其等于计算得到的信号频率(原来的调制频率加上频率偏移),从而达到跟踪的目的。这时滤波器的转折频率较初始估计时要窄,但并不是越窄越好,因为太窄会影响低频幅值而给幅值计算带来误差。
表2 频率和幅度的计算误差
| 
             信号频率/Hz  | 
            
             108  | 
            
             105  | 
            
             103  | 
            
             101  | 
        
| 
             频率跟踪最大误差  | 
            
             1.3436×10-8  | 
            
             1.3375×10-7  | 
            
             5.1882×10-7  | 
            
             7.9510×10-8  | 
        
| 
             幅值最大误差  | 
            
             5.4903×10-7  | 
            
             6.2891×10-7  | 
            
             8.3653×10-7  | 
            
             5.9030×10-7  | 
        
| 
             信号频率/Hz  | 
            
             100.1  | 
            
             99.3  | 
            
             95  | 
            
             93  | 
        
| 
             频率跟踪最大误差  | 
            
             5.9903×10-7  | 
            
             6.7065×10-7  | 
            
             3.4155×10-7  | 
            
             5.5117×10-7  | 
        
| 
             幅值最大误差  | 
            
             8.1214×10-7  | 
            
             8.3942×10-7  | 
            
             4.6191×10-7  | 
            
             4.7509×10-7  | 
        
(3)相位差的测量
相位差的测量结果如表3~表6所示。
表3 信号频率108Hz,调制频率跟踪上后频率测量误差小于2×10-8,幅度误差小于6×10-7时,相位差计算结果
| 
             实际相位/(°)  | 
            
             4  | 
            
             1.2  | 
            
             0.1  | 
            
             0.01  | 
            
             -0.3  | 
            
             -1  | 
        
| 
             测量误差  | 
            
             2.5952×10-5  | 
            
             3.1881×10-5  | 
            
             2.808×10-5  | 
            
             1.1516×10-4  | 
            
             3.0956×10-5  | 
            
             3.1244×10-5  | 
        
表4 信号频率105Hz,频率误差小于2×10-7,幅度误差小于7×10-7时,相位差计算结果
| 
             实际相位/(°)  | 
            
             4  | 
            
             1.2  | 
            
             0.1  | 
            
             0.01  | 
            
             -0.3  | 
            
             -1  | 
        
| 
             测量误差  | 
            
             4.5516×10-4  | 
            
             4.7329×10-4  | 
            
             4.9047×10-4  | 
            
             4.9438×10-4  | 
            
             4.8791×10-4  | 
            
             4.9018×10-4  | 
        
表5 信号频率122Hz,频率误差小于5×10-8,幅度误差小于7×10-8时,相位差计算结果
| 
             实际相位/(°)  | 
            
             4  | 
            
             1.2  | 
            
             0.1  | 
            
             0.01  | 
            
             -0.3  | 
            
             -1  | 
        
| 
             测量误差  | 
            
             4.8484×10-5  | 
            
             4.2301×10-5  | 
            
             4.5834×10-5  | 
            
             2.8415×10-6  | 
            
             4.0615×10-5  | 
            
             3.7887×10-5  | 
        
表6 信号频率83Hz,频率误差小于1×10-6,幅度误差小于6×10-7时,相位差计算结果
| 
             实际相位/(°)  | 
            
             4  | 
            
             1.2  | 
            
             0.1  | 
            
             0.01  | 
            
             -0.3  | 
            
             -1  | 
        
| 
             测量误差  | 
            
             8.2045×10-4  | 
            
             8.6210×10-4  | 
            
             8.8144×10-4  | 
            
             8.9068×10-4  | 
            
             8.8214×10-4  | 
            
             8.9266×10-4  | 
        
从上面结果可以看出,频率和幅度对相位差的计算是有影响的。因此用我们自己提出的这种计算相位的方法想要提高精度,不仅要考虑减少自身计算时的误差,对频率幅度的计算精度要求也很高。
(4)谐波和随机干扰等因素的影响
设信号为
sv= 10sin[2π(f0 + Δf)t + Φπ/180] + 3sin[4π(f0 + Δf)t] + sin[6π(f0 + Δf)t]
跟踪结果如表7所示。
表7 跟踪结果
| 
             信号频率/Hz  | 
            
             108  | 
            
             105  | 
            
             101  | 
            
             100.5  | 
            
             99  | 
            
             93  | 
        
| 
             频率跟踪最大误差  | 
            
             1.7116×10-7  | 
            
             1.0647×10-6  | 
            
             2.7781×10-7  | 
            
             3.3967×10-6  | 
            
             2.9849×10-7  | 
            
             3.3106×10-6  | 
        
| 
             幅值最大误差  | 
            
             1.8105×10-6  | 
            
             1.1660×10-6  | 
            
             3.0162×10-6  | 
            
             5.3560×10-6  | 
            
             3.4277×10-6  | 
            
             7.5820×10-6  | 
        
表8 信号频率为108Hz时,相位差计算结果
| 
             实际相位/(°)  | 
            
             1.2  | 
            
             0.1  | 
            
             0.01  | 
            
             -0.3  | 
        
| 
             测量误差  | 
            
             2.4557×10-4  | 
            
             2.3974×10-4  | 
            
             2.7769×10-4  | 
            
             2.4873×10-4  | 
        
表9 信号频率为89Hz时,相位差计算结果
| 
             实际相位/(°)  | 
            
             1.2  | 
            
             0.1  | 
            
             0.01  | 
            
             -0.3  | 
        
| 
             测量误差  | 
            9.7427×10-4 | 
             9.7368×10-4  | 
            
             9.9190×10-4  | 
            
             9.7338×10-4  | 
        
由表8~表9可见,谐波对频率、幅度及相位差计算的影响不是很大,这也要归功于调制后的低通滤波器的作用。因为谐波信号调制后引入的噪声频率都远高于滤波器的截止频率,所以这部分来自谐波的干扰被大幅度衰减,减小了对测量结果的影响。
表10 加零均值随机噪声幅度为信号幅度的5%时的跟踪结果
| 
             信号频率/Hz  | 
            
             108  | 
            
             101  | 
            
             99  | 
            
             93  | 
        
| 
             频率跟踪误差  | 
            
             2.5185×10-4  | 
            
             2.1287×10-4  | 
            
             2.1515×10-4  | 
            
             2.2581×10-4  | 
        
| 
             幅值误差  | 
            
             0.0021  | 
            
             0.0024  | 
            
             0.0023  | 
            
             0.0028  | 
        
显然,同步调制法受随机干扰的影响较大。这是因为该方法是根据前后两个采样点的值来构造产生频率和幅值的测量,因此要求波形相当纯净,随机噪声的宽频带使我们很难从原始信号中取得纯净的正弦波形。由于相位计算是以频率计算和幅值计算为基础的,所以相位差的计算精度将降低。对此我们采取了一些改进措施,如改变滤波器的转折频率,增加陷波滤波器等,以期提高相位差计算精度,但是,仿真结果表明,精度的提高都很有限。
2.3 小结
    (1)基于同步调制方法的测量信号频偏的范围广和对谐波干扰抑制强,在很短的时间里就能检测到频率偏移。
    (2)此方法利用的是通信上的调制原理和三角函数变换关系。通信上的调制对象一般是固定信号,其信号稳定性好、干扰小。而利用三角函数变换关系的构造函数是建立在纯正弦波形的基础上。所以,一旦加入随机噪声,对上述原理和关系都会产生负面影响。因此,这种方法要在科氏流量计中应用,还要进一步探讨。
3 数字激振方案
激振系统是科氏流量计的一个重要组成部分,它的主要任务是从速度传感器中取出信号,经过必要的处理,产生驱动信号送到激励线圈,使测量管以其固有频率持续振动。
3.1 模拟驱动系统的起振过程[4]
模拟驱动激振系统是将传感器信号经过放大滤波(信号调理)后分成两路,将其中的一路经过一个带通滤波器后,再经过全波整流电路产生与传感器信号幅度成比例的信号,将其作为控制信号送到直流增益控制电路,最后将增益控制电路的输出信号(振动增益信号)与另一路传感器信号相乘后送给功率放大单元产生驱动信号,如图l所示。其核心单元直流增益控制电路的作用就是使系统起振时满足| H(jω)F(jω)|>l,而在幅度达到要求时又能使|H(jω)F(jω)|=1。
传统的模拟驱动系统相对于处理器是独立的,因此可以把它从相位差测量过程中分离出来进行单独研究,我们用MATLAB软件中的SIMUlink工具搭出模拟驱动电路模型进行仿真。
增益控制电路采用参考电压差动放大电路,相当于一个比例调节器,参考电压就代表幅值。在SIMUlink模型里用一个小时间常数的惯性环节来近似差分放大器。
在测量管模型H(s)前加一零均值随机噪声,以检验模拟系统利用其增益控制电路能否在噪声作用下起振并最终稳定在一定幅度。仿真结果如图2所示。可见,模拟驱动电路的起振时间较长,起振后振动不稳定。
图1的虚线部分相当于是振动幅值的反馈控制。刚开始时速度传感器的输出幅度很小,经全波整流后输出的代表振幅的信号也很小,这样导致参考电压(代表幅值给定)的偏差e很大,经过放大(比例调节)后产生的振动增益就很大,使|H(jω)F(jω)|远大于1,这样通过强烈的正反馈作用就使振动的幅度快速增加。随着振动幅度的加大,偏差e就会减小,使增益控制电路的输出越来越小,直到使|H(jω)F(jω)|=1后振幅不再变化,系统达到稳定。若振幅出现超调,则振幅增益变小,使|H(jω)F(jω)|<1或增益变负,破坏激振的相位平衡条件,使幅度下降。
3.2 应用数字控制方式改善系统的起振性能
由上面分析可知增益控制电路是系统自激性能的关键所在。因此我们将其改造成控制方式来提升系统的性能。根据控制器输入的偏差不同,采用不同的比例系数。当振动管没有明显起振时,偏差很大,这时用较大的比例系数,一旦出现明显起振就将比例系数切换到合适的大小,防止不稳定或大超调。在SIMUlink模型中我们用s-函数sfun-vk来替代模拟系统里代表差动放大电路的传函模型,如图3所示,其起振过程如图4所示。可见,起振性能得到明显改善,尤其是起振的快速性得到极大的提高。
3.3 数字实现方案
现有的数字驱动方案主要有:基于一个乘法数模转换器(MDAC)的驱动方案,基于DAC和MDAC的驱动方案以及基于波形合成的驱动方案[5~7]。我们在综合上述方法的基础上,为了尽可能地利用DSP的运算能力并减少外围电路器件,提出了一种结合前面提到的第二种方案和第三种方案的数字驱动方案:把对振幅增益进行数字控制,根据传感器信号直接合成驱动波形,它们的相乘都交由DSP来完成。具体过程为:传感器出来的信号经数字化后进入DSP,在DSP里完成相应的频率、幅值和相位的计算,然后根据幅值的计算值,运用数字控制方法进行增益控制,同时根据算得的频率和相位合成振动管所需要的信号波形。其中,驱动信号的相位值还要考虑信号在传输和计算过程中延时,最后将合成波形和增益相乘后输出。DSP的工作流程如图5所示。
4 小结
与模拟驱动方案相比,数字驱动方案的电路结构简单;灵活性好,对各种振动管都适用(只需修改软件即可);充分利用DSP快速的处理功能,用同一个处理器完成计算流量和密度的算法和执行驱动的算法。




